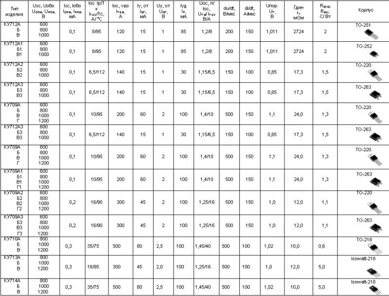
Тиристоры
Заказать тиристоры
Поделитесь страницей "Тиристоры" в Социальных сетях
Контакты компании
Страна
Россия
Регион
Брянская область
Адрес
Брянск, ул. Красноармейская, д. 103
Телефон
+7 (4832) 419103

Поделитесь страницей "Тиристоры" в Социальных сетях
Оцените товар «Тиристоры», по 5-ти бальной шкале.
Выберите одну из цифр: 1-min, 5-max
В окне для комментариев вы можете оставить свой отзыв.